GRE 数学常见误区与避坑指南
先来看一个GRE数学表达式,你会如何化简它?

优质的GRE题目往往会暴露我们自己都没意识到的数学误区!化简这个表达式的错误方法有很多,先自己尝试一下,再继续阅读——接下来我们会解析这些数学"迷思"、常见错误,以及如何在GRE中避免自我怀疑。
1. 指数的加减运算
首先,如果你直接把指数相加,那就走错方向了。以下是指数运算中不能做的事及原因:
- 两个指数相加时,不能这样化简:
a² + b² ≠ (a + b)²
- 反过来也不行:
(a + b)² ≠ a² + b²
- 减法同样不适用:
a² - b² ≠ (a - b)²
(a - b)² ≠ a² - b²
可以用小数字验证这个规则。回忆勾股数(能构成直角三角形边长的整数组,比如3、4、5),令a=3、b=4:
3² + 4² = 5² = 25
(3 + 4)² = 7² = 49
显然,3² + 4²和(3 + 4)²的结果不同,不能随意转换。
不过开头的题目情况略有不同:它的底数相同,但指数不同:
2^14 + 2^17
遗憾的是,同底数指数相加并没有简便规则(不像乘除有对应法则),唯一的化简方法是提取公因式。
2^14是2^14和2^17的公因式:可以把2^14写成2^14×1,把2^17写成2^14×2³。化简步骤如下:

现在没有加法了,可以安全地开平方:2^14的平方根是2^7,9的平方根是3。因此原式的结果是2^7×3。
总结:
- 指数加减时,不要"拆分"或"合并"底数。记住3² + 4²≠7²的例子!
- 若底数相同,可以提取公因式,再进一步化简。
顺便说一下,平方根也有类似误区:

用3、4、5验证:
,但
,两者不相等。
2. 特殊指数(分数、负数、变量)
当指数出现不常见的形式(分数、负数、变量),最容易犯的错是"panic并放弃"。但常规的指数法则对特殊指数同样适用,像处理简单题目一样应用法则即可。
例如,指数的乘方法则是"指数相乘",比如(2^5)^7=2^35。
那(2^(8x))^(-0.5)怎么化简?用同样的方法:指数相乘,得到2^(-4x)。
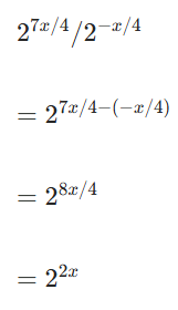
再比如,同底数指数相除时,指数相减,比如
。
遇到复杂指数时,流程不变:

不要让特殊指数的题目吓住你,避免因此犯计算错误。
3. 数值比较
GRE数学中的"数量比较题"需要比较两个数值,出题人很喜欢利用一个常见错误:比较负数时,"看起来大"的数其实更小。

比如,-8比-5小。这看似明显,但考场上压力大时,很容易凭直觉做出错误判断。比较负数时,画数轴是最稳妥的方法:数轴上靠左的数更小。
这个方法对负分数尤其有用(负分数的比较更反直觉):问自己"哪个数离0更远、更靠左?",那个数就是更小的。

比如比较-1/7和-1/11:-1/7在数轴上更靠左,所以-1/7 < -1/11。
画数轴可以避免在数量比较题的最后一步出错!
4. PEMDAS运算顺序
用PEMDAS化简表达式时,有个常见陷阱:乘除运算要从左到右依次进行,而非先做所有乘法再做所有除法(这和缩写词的字面顺序不同)。
例如化简10 / 5 * 6:
正确步骤:
10 / 5 * 6 = 2 * 6 = 12
错误步骤:
10 / (5 * 6) = 10 / 30 = 1/3
加减运算同理:也要从左到右依次进行。这能帮你避免GRE中的低级计算错误。
5. 负数与括号
这两个表达式看起来相似,但结果完全不同:
(-3)² 和 -3²
第一个等于9,第二个等于-9。这其实还是PEMDAS的问题:"取负"相当于乘以-1,属于"乘法"步骤。
- 化简(-3)²:先算括号内的-3,再平方,结果为正9;
- 化简-3²:没有括号,先算3²=9,再取负,结果为-9。
6. 比例问题
GRE比例题的选项常出现"颠倒的比例"(比如选项A是4:7,选项E是7:4),这是在利用"不小心写反比例"的常见错误——即使你完全懂比例,也可能因粗心犯错。
避免方法:
1. 用标注清晰的表格/图表整理比例,不要只写光秃秃的数字;
2. 做"合理性检查":结合题目逻辑判断比例的大小关系(比如题目说苹果比梨多,比例的前项就应该大于后项)。
理解你的数学错误
刚开始备考GRE时,你可能会在搞懂错误原因后就搁置错题(尤其是粗心错)。当然,不必因错误自责,但"自责"和"收集有效信息"是两回事:要主动识别错误、理解原因、记录下来,并制定避免重犯的计划。


评论 (0)
暂无评论,快来发表第一条评论吧!